REAKSI PEMBAKARAN TIDAK SEMPURNA MOTOR BAKAR
September 30, 2020 ・0 comments ・Topic: Teori Otomotif
Kini kita bertemu kembali pada postingan reaksi pembakaran tidak sempurna motor bakar. Dimana postingan sebelumnya kita sudah membahas pembakaran sempurna (dan tidak sempurna) secara detail. Mulai penyebab pembakaran sempurna atau faktor yang menentukan terjadinya pembakaran sempurna pada motor bakar, bentuk pembakaran sempurna dan perhitungan jumlah udara ideal untuk menghasilkan pembakaran sempurna.
Pada kesempatan ini saya akan membahas reaksi pembakaran tidak sempurna motor bakar. Dimana materi ini juga penting utnuk dibahas oleh seorang calon mekanik handal yang sedang menempuh pelatihan mekanik.
Campuran bahan bakar dan udara yang masuk kedalam silinder terbakar dan menghasilkan tenaga dorong piston, sehingga piston bergerak menuju Titik Mati Atas (TMA). Pada tahap ini disebut langkah usaha atau ekspansi. Hal lain yang diperoleh selain tenaga dorong adalah sisa hasil pembakaran, hal ini biasa disebut emisi gas buang.
Pembakaran tidak sempurna dapat saja terjadi pada proses pembakaran campuran bahan bakar dan udara. Hal ini terjadi karena oksigen (O2) yang ada tidak cukup untuk membakar bensin (C8H18) sepenuhnya menjadi carbondioksida dan uap air (red:air). Hasil pembakaran tidak sempurna biasanya gas HC dan CO yang berbahaya bagi manusia dan lingkungan.
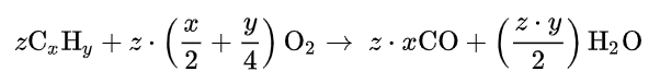
Secara umum rumus pembakaran bensin yang tidak sempurna (kurang oksigen) dapat anda lihat pada gambar berikut.
![]() |
| Rumus Perhitungan Pembakaran Tidak Sempurna |
Hasil perhitungannya adalah 3,5 O2 yang kita butuhkan agar propana tidak terbakar sempurna. Angka 3,5 ini cukup aneh, sebaiknya kita ubah menjadi tidak berkoma, kita kali dua (2) menjadi 7O2. Untuk lebih lengkapnya disajikan pada persamaan dibawah ini.
Silahkan anda berlatih menghitung persamaan pembakaran tidak sempurna pada bensin (C8H18). Gunakan Rumus Perhitungan Pembakaran Tidak Sempurna diatas untuk menentukan jumlah oksigen yang dibutuhkan, kemudian menghitung hasil pembakarannya.
Setelah anda mengetahui jumlah propana dan oksigen yang tidak ideal menggunakan rumus, kini saatnya anda menghitung hasil pembakarnnya. Contoh perhitungan pembakaran propana tidak sempurna adalah sebagai berikut.
Silahkan anda berlatih menghitung persamaan pembakaran tidak sempurna pada bensin (C8H18). Gunakan Rumus Perhitungan Pembakaran Tidak Sempurna diatas untuk menentukan jumlah oksigen yang dibutuhkan, kemudian menghitung hasil pembakarannya.
Baca Juga: Pembakaran Sempurna sebelumnya
Semoga REAKSI PEMBAKARAN TIDAK SEMPURNA MOTOR BAKAR bermanfaat bagi anda. Silahkan tinggalkan komentar, jika anda merasa ada bagian yang kurang tepat yang saya sampaikan.





Post a Comment
If you can't commemt, try using Chrome instead.